Logo Footer
Lorem Ipsum
Website title
Cao Lao, Hạ Trạch quê mình. Bốn bề phong cảnh hữu tình nước non. Cao Lao tiền thế đặt tên. Cao trông vời vợi, Lao bền không xiêu

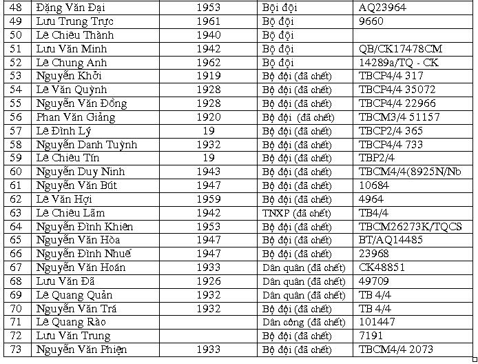
Danh sách các thương binh và bệnh binh xã Hạ Trạch

Danh sách các thương binh và bệnh binh Xã Hạ Trạch đến ngày 20 tháng 7 năm 2012 do UBND xã cung cấp

.

Tác giả: UBND xã Hạ Trạch

0 / 5 (0Bình chọn)
Bình luận
Gửi bình luận
Bình luận

    Video mới nhất

    Lễ cúng rằm tháng 7 năm 2025 tại chùa Cao Lao Tự

    Hình ảnh mới nhất

    Lễ cúng đình làng Cao Lao Hạ năm 2025

    Thống kê truy cập

    Hôm nay: 909

    Trong tuần: 15917

    Trong tháng: 36297

    Tổng số: 12881782

    Đang online: 72

    quan_ly_thong_bao